全国优秀书法篆刻作品展览开幕 南靖书法家作品亮相
近日,第十二届中国艺术节在上海开幕,中国艺术节是具有全国性、群众性的重要国家文化艺术节日。作为第十二届中国艺术节期间的重要内容,全国优秀美术作品展览、全国优秀书法篆刻作品展览、全国优秀摄影作品展览于5月21日上午同期在中华艺术宫(上海美术馆)开幕。
在全国优秀书法篆刻作品展览参展作者名单上有一个熟悉的名字:
吴鸿璋,笔名立早,南靖县文联主席。中国书法家协会会员,中国楹联学会会员,漳州市书协常务理事。
作品入展:
全国“铁人杯”书法作品展优秀作品奖(最高奖 中国书协)
第十一届中国艺术节全国优秀书法篆刻作品展览(文化部)
第十二届中国艺术节全国优秀书法篆刻作品展览(文化和旅游部)
“乾元杯”全国书法篆刻作品展(中国书协)
全国首届“陶渊明奖”书法作品展(中国书协)
“生态大连”全国书法篆刻作品展(中国书协)
“祭侄文稿杯”全国书法大展(中国书协)
“丝绸之路”全国书法作品展(中国书协)
首届“刘禹锡杯”全国书法作品展(中国书协)
首届“沈商文化杯”全国书画作品展(中国书法报社)
首届“八闽丹青奖”福建省书法双年展 (省文联、省书协)
“八闽丹青奖”第二届福建省书法双年展 (省文联、省书协)
第三届福建省书法篆刻作品展(省文联)
漳州市百名书画名家作品晋京展(省文联)
全国优秀书法篆刻作品展览现场,左一是吴鸿璋的作品
据了解,全国优秀书法篆刻作品展览展出书法作品249件,吴鸿璋的书法作品是经公开征集作品经评审入展的,他的作品已连续两次入选全国优秀书法篆刻作品展览。
来看看他的入展作品吧~
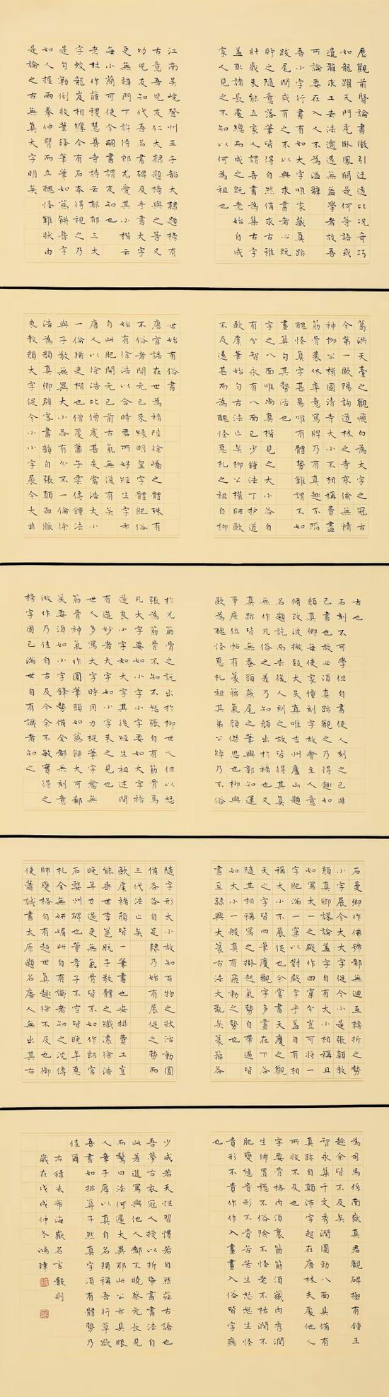
小楷米芾《海岳名言》
○
再欣赏一些他的佳作吧
《孙子兵法》
○
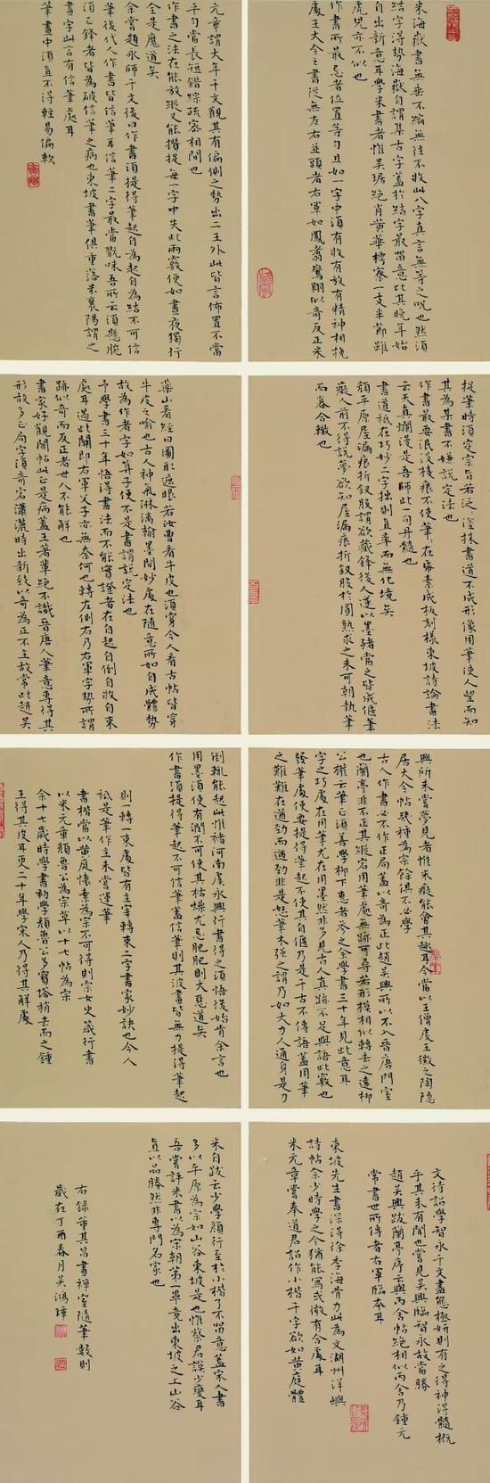
《画禅室随笔》数则
○
《嵇康养生论》
○
书法是中国艺术的一绝
对于学习和传承书法这一传统文化
吴鸿璋先生有自己的看法
他说:“书法是中国传统文化的载体之一,它和汉字、国画、诗歌、中医学、佛道教等都有着密切的关系,譬如王羲之的《黄庭经》就是书法和中医学、道教相结合的典范,书法和其他中国文化是相通的,所以在学习书法的同时应该涉猎其他领域的文化,以此拓宽思路、激发创造性,在不同领域寻找乐趣才不会让书法学习显得枯燥!只有在传统的根基上不断培土、修剪枝叶,才能让包括书法在内的传统文化向阳生长。”
(来源:南靖之窗)










